Горячая линия национальной службы:
+86-372-2595077/2595078/2595088
Назначение:
Минеральные дуплексные электромагниты собственного типа безопасности спроектированы таким образом, чтобы обеспечить наличие предохранительного клапана гидравлической системы управления опорой угольной шахты, в соответствии с положениями GB / T 3836.1 - 2021 и GB / T 3836.4 - 2021, уровень защиты до IP65, подходит для сложных подземных условий работы угольной шахты.
Основные технические параметры
| Напряжение (V) | Номинальная всасывающая сила (N) | Номинальный маршрут (mm) | Полный маршрут (mm) | Потребляемая мощность (W) | Класс защиты |
| DC12 | 10 | 1.0 | 1,9 | 1.3 | МП65 |
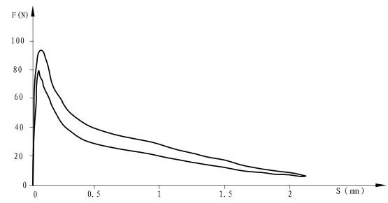
характеристика хода - силы

Внешний вид и размеры установки
СГ - 10

СМ - 10 - Л

SL - 10 - M12

СКМ - 10

СК - 10

GDP - 10

СТ - 10

SY40 - 10

Внимание при использовании
• Ручной механизм управления электромагнитом расположен в хвостовой части толкателя, снаружи защищен резиновой шляпой, в чрезвычайной ситуации, когда требуется ручное управление, не используйте острые инструменты для предотвращения повреждения резиновой шляпы, что приводит к отказу внутренней воды продукта.
• Внешняя часть толкателя электромагнита тонкая, обратите внимание на защиту во время установки и оборота.
Описание выборки
• В соответствии с потребностями клиентов можно настроить дизайн и производство, материал и местоположение коробки, форму разъема, конструкцию установки и так далее. Использование некоторых инженерных пластиковых деталей или цельной пластиковой оболочки продукта может уменьшить вес продукта и значительно уменьшить ремонт и замену подъемных скважин из - за ржавчины электромагнита, чтобы обеспечить большую удобство для использования клиентами.
• Характеристики только для справочных целей.
Chinese
English
Русский
Español